根据经典生物学物种概念,物种形成过程是生殖隔离(即杂交障碍)进化的过程。随着大规模测序技术带动群体基因组学的发展,大量研究认为物种的进化没有完全的地理或空间隔离,基因流存在下的物种形成模式可能是自然界普遍存在的一种方式。因此,在没有明显分化和隔离的杂交群体中,伴随基因流动的近缘物种形成模式和物种边界的维持机制亟需进一步研究。
近日,2026年国际足联世界杯赵桂仿教授团队在生态学领域国际知名期刊Molecular Ecology发表了题为Speciation patterns of related species under the hybrid zone: a case study of three sclerophyllous oaks in the East Himalaya-Hengduan Mountains的研究论文。该论文以分布于东喜马拉雅——横断山脉及其毗邻地区的三个高山栎植物近缘物种(刺叶高山栎(Quercus spinosa)、川滇高山栎(Quercus aquifolioides)和毛脉高山栎(Quercus rehderiana)为研究对象,筛选高质量的全基因组单核苷酸多态性变异位点。通过群体基因组数据和生态因子数据,整合群体基因组学、生物地理学和景观生态学等方法,重建三个近缘物种的系统发育关系,模拟三个物种的种群动态和进化历史,并对同域物种的分化和维持机制进行深入探讨。

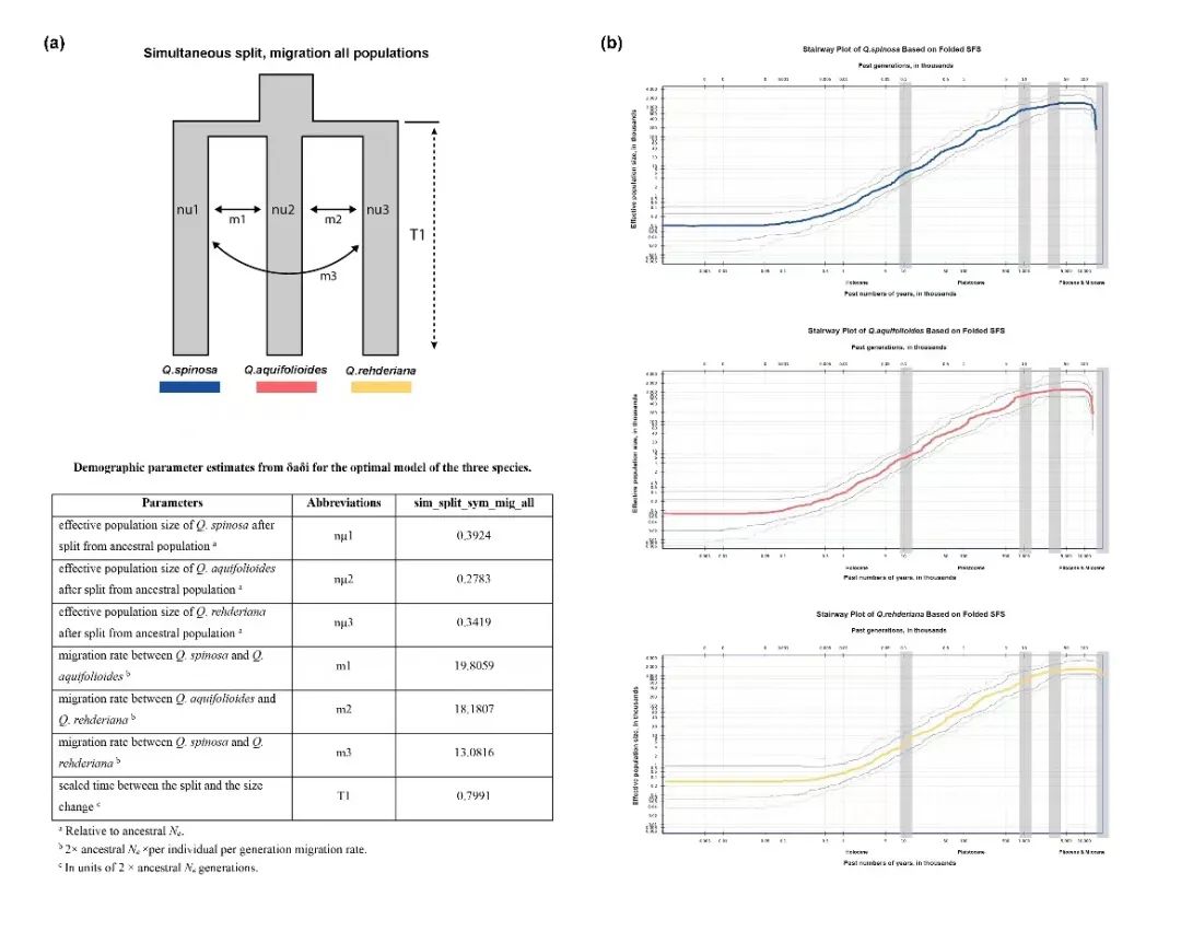
研究结果表明,三个近缘物种之间不存在明显的遗传屏障,地理距离对种群亲缘关系具有一定的影响,但不是影响分布于同域山体的种群亲缘关系的唯一因素。

三个近缘物种分化为三个独立的谱系至少发生在第三纪,并且在分化的早期阶段没有发生相对迁移事件。地质运动和气候波动催化了物种在第三纪的快速辐射分化,相似的选择压力呈现出相同的进化模式,经历了平行进化的过程。然而,三个物种对气候因子呈现差异性响应,并主要体现在温度方面。而且广义相异性建模的结果显示,温度在三个近缘物种的空间生物多样性格局中起着至关重要的作用,生态适应差异是维持同域近缘物种分化的主要驱动力。研究认为,在物种分化的早期阶段,这三个近缘物种在不同的栖息地经历了适应性进化。该研究为同域近缘物种分化的驱动力提供了新的实验证据。

Molecular Ecology为中科院一区TOP期刊,主要发表运用分子基因技术解决生态、进化、行为和生态保护等重大问题的研究成果。2026年国际足联世界杯团队博士后巨苗苗为论文第一作者,岳明教授和赵桂仿教授为共同通讯作者。本研究受到国家自然科学基金(31770229,32101354)等项目支持。
文章全文链接DOI:https://doi.org/10.1111/mec.17060


